Transition-Metal-Catalyzed Unzipping of Single-Walled Carbon Nanotubes into Narrow Graphene Nanoribbons at Low Temperature
Optical Properties of Boron Nitride Nanoribbons: Excitonic Effects
Structural, Electronic, and Magnetic Properties of Neutral and Charged Transition Metal-Bis(dicarbollide) Sandwich Clusters
Magnetic Manipulation and Half-Metal Prediction of One-Dimensional Bimetallic Organic Sandwich Molecular Wires [CpTM1CpTM2]∞ (TM1 = Ti, Cr, Fe; TM2 = Sc-Co)
Tailoring Band Gap in GaN Sheet by Chemical Modification and Electric Field: Ab Initio Calculations
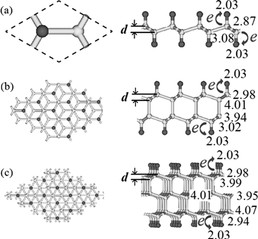
Formation and Electronic Properties of Hydrogenated Few Layer Graphene
Boron and Nitrogen Doping Induced Half-Metallicity in Zigzag Triwing Graphene Nanoribbons
Comparative Study of the Interaction of O2 and C2H4 with Small Vanadium Clusters from Density Functional Theory
Stability and Electronic Structure of Hydrogen Passivated Few Atomic Layer Silicon Films: A Theoretical Exploration
Structures and Magnetic Properties of Pdn Clusters (n = 3-19) Doped by Mn Atoms
Copyright © Jinlan Wang Group 2022