Core-Shell Magnetic Nanoclusters
Ab Initio Study of Structural and Magnetic Properties of TMn(ferrocene)n +1 (TM = Sc, Ti, V, Mn) Sandwich Clusters and Nanowires (n = ∞)
Theoretical Studies on Structural, Magnetic, and Spintronic Characteristics of Sandwiched EunCOTn+1 (n = 1−4) Clusters
Hydrogen Storage on Metal-Coated B80 Buckyballs with Density Functional Theory
Edge-Passivation Induced Half-Metallicity of Zigzag Zinc Oxide Nanoribbons
Ab Initio Study of the Structure and Magnetism of Atomic Oxygen Adsorbed Scn (n = 2-14) Clusters
Ab Initio Study of Structural, Electronic, and Magnetic Properties of Transition Metal-Borazine Molecular Wires
Gold Nanotube Encapsulation Enhanced Magnetic Properties of Transition Metal Monoatomic Chains: An Ab Initio Study
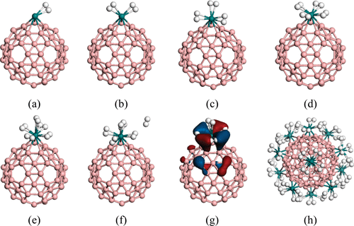
Ab Initio Study of Structural, Electronic, and Magnetic Properties of Vn(C60)m complexes
Structural, Electronic, and Magnetic Properties of TMZn11O12 and TM2Zn10O12 Clusters (TM = Sc, Ti, V, Cr, Mn, Fe, Co, Ni, and Cu)
Structural and Magnetic Properties of Bimetallic Con−1Cr Clusters with Density Functional Theory
Density Functional Theory Studies of Inorganic Metallocene Multidecker Vn(P6)n+1 (n = 1-4) Sandwich Clusters
Density Functional Study of CO Adsorption on Scn (n = 2-13) Clusters
Size- and Shape-Dependent Polarizabilities of Sandwich and Rice-Ball ConBzm Clusters from Density Functional Theory
Structural, Electronic, and Magnetic Properties of Con(benzene)m Complexes
Ab Initio Study of Magnetic Properties of Bimetallic Con-1Mn and Con-1V Clusters
Density Functional Theory Study of Cationic Group VI Transition Metal–Benzene Clusters
Gold-Coated Transition-Metal Anion [Mn13@Au20]- with Ultrahigh Magnetic Moment
Structural, Electronic, and Magnetic Properties of Scn (n = 2-18) Clusters from Density Functional Calculations
Static Polarizabilities and Optical Absorption Spectra of Gold Clusters (Aun, n = 2–14 and 20) from First Principles
Dipole Polarizabilities of Medium-Sized Gold Clusters
Density-Functional Study of Small and Medium-Sized Asn Clusters up to n = 28
Structural Evolution of Anionic Silicon Clusters SiN (20≤N≤45)
Structural, Electronic, and Optical Properties of Noble Metal Clusters from First Principles
Hollow Cages versus Space-Filling Structures for Medium-Sized Gold Clusters: The Spherical Aromaticity of the Au50 Cage
Optimally Stuffed Fullerene Structures of Silicon Nanoclusters
Infrared Spectra of VnBzn+1 SandwichClusters: A Theoretical Study of Size Evolution
Structure and Magnetism of VnBzn+1 Sandwich Clusters
How Does the Nickel Nanowire Melt?
Stuffed Fullerene Structures for Medium-Sized Silicon Clusters
Structure and Electronic Property of Sin (n = 20-40 and 45) clusters
Endohedral Silicon Fullerenes SiN (27≤N≤39)
Local Atomic Structures of Palladium Nanowire
Melting Behavior of One-Dimensional Zirconium Nanowire
Evidence of a Melt Like Supercooled Liquid During a Solid to Liquid Transition of Titanium Nanowire
Nonmetal-Metal Transition in Znn (n = 2-20) Clusters
Dipole Polarizabilities of Germanium Clusters
Structures and Electronic Properties of Cu20, Ag20, and Au20 Clusters with Density Functional Method
Density-Functional Study of Aun (n = 2-20) Clusters: Lowest-Energy Structures and Electronic Properties
Melting Behavior in Ultrathin Metallic Nanowires
Structure and Magnetic Properties of Co-Cu Bimetallic Clusters
Elastic Deformation and Stability in Pentagonal Nanorods with Multiple Twin Boundaries
Structures and Electronic Properties of Gen (n = 2-25) Clusters from Density Functional Theory
Structural Transition of Si Clusters and Their Thermodynamics
Density Functional Study of Beryllium Clusters, with Gradient Correction
Thermal Properties of Medium-Sized Ge Clusters
Thermal Behavior of Cu-Co Bimetallic Clusters
Structural Studies of Clusters in Melt of FeAl Compound
Formation and Stability of Large B6O Clusters with Isosahedral Structure
Molecular Dynamics Computation of Clusters in Liquid Fe-Al Alloy
Geometric and Electronic Properties of Titanium Clusters Studied by Ultrasoft Pseudopotential
The Stability of Icosahedral Cluster and the Range of Interaction Potential
The Bond Length Deformation and the Elastic Structure in Icosahedral Clusters
A Transferable Nonorthogonal Tight-Binding Model of Germanium: Application to Small Clusters
Spatiotemporal Chaos Synchronization by Active-Occassional Coupling
Synchronizing Spatiotemporal Chaos in Coupled Map Lattices via Active-Passive Decomposition
Copyright © Jinlan Wang Group 2022